투자 결정의 핵심 지표, 내부수익률(IRR) 이해하기
투자 계획을 평가하고 최적의 결정을 내리기 위해 다양한 지표가 사용됩니다. 그 중 하나가 바로 내부수익률(IRR)입니다. IRR은 투자 계획의 비용과 편익의 흐름을 평가해 그 투자 계획이 얼마나 수익성 있는지를 판단하는 중요한 도구입니다.
이번 글에서는 IRR의 개념, 계산 방법, 장단점에 대해 알아보겠습니다.

내부수익률(IRR) 정의, 계산 방법
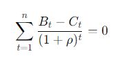
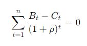
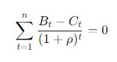
IRR(Internal Rate of Return)은 특정 투자 계획의 현재 가치를 0으로 만드는 할인율입니다. 이는 투자 계획에서 발생하는 비용과 편익의 흐름을 고려해 계산되며, 이자율이 일정할 때 n기 동안 매 기마다 발생하는 비용(C)과 편익(B)을 기반으로 합니다.
IRR을 구하기 위해 다음과 같은 n차 방정식을 사용합니다.

여기서
𝜌
ρ는 IRR을 나타내며, 이를 구하기 위해 방정식을 풀어야 합니다. IRR이 자금의 기회비용인 이자율(r)보다 크다면 해당 투자 계획은 수익성이 있다고 판단할 수 있습니다.
IRR의 장점과 단점
IRR은 투자 결정에 유용한 지표지만, 몇 가지 단점도 존재합니다.
장점
- 직관성: IRR은 직관적으로 이해하기 쉽고, 투자 수익률을 백분율로 표현해 비교적 쉽게 해석할 수 있습니다.
- 비교 가능성: 여러 투자 계획을 비교할 때 유용하며, IRR이 높은 계획을 선택하면 됩니다.
단점
- 투자 크기의 문제: 투자 계획의 크기가 서로 다른 경우, IRR만으로 비교하면 왜곡된 결론에 이를 수 있습니다.
- 다중 해: IRR 방정식은 n차 방정식이기 때문에, n개의 해를 가질 수 있어 어느 해를 선택할지 결정하기 어려울 수 있습니다.
- 재투자 가정: IRR은 모든 중간 현금 흐름이 동일한 IRR로 재투자된다고 가정하지만, 이는 현실적이지 않을 수 있습니다.
IRR의 긍정적인 전망과 경제적 효과
IRR은 투자 결정을 돕는 데 중요한 역할을 합니다. 높은 IRR을 가진 투자 계획은 경제적 이익을 창출할 가능성이 높습니다. 이는 기업의 자본 비용보다 높은 수익을 기대할 수 있음을 의미하며, 장기적으로 기업의 재무 건전성을 향상시킬 수 있습니다.
예를 들어, 어떤 기업이 여러 투자 기회를 평가할 때 IRR을 사용하면, 자본을 가장 효율적으로 배분할 수 있습니다. 이는 기업의 성장과 수익성 향상에 직접적인 영향을 미치며, 경제 전반에도 긍정적인 효과를 가져올 수 있습니다.
필자의 생각
IRR은 투자 결정에 있어 강력한 도구지만, 이를 사용할 때는 그 한계점도 분명히 인식해야 합니다. 다중 해 문제나 투자 크기의 차이로 인해 발생하는 문제를 보완하기 위해 다른 재무 지표들과 함께 사용하는 것이 좋습니다. 종합적인 판단을 통해 보다 정확하고 신뢰할 수 있는 투자 결정을 내리는 것이 중요합니다.
끝으로
IRR은 투자 계획의 수익성을 평가하는 데 유용한 지표로, 이를 통해 투자 결정을 보다 효과적으로 내릴 수 있습니다.
그러나 IRR의 한계점을 보완하기 위해 다른 지표들과 함께 사용하고, 투자 크기나 다중 해 문제를 고려해야 합니다. 이를 통해 보다 신뢰성 있는 투자 결정을 할 수 있을 것입니다.
▼ 함께 보면 좋은 글 ▼
ETF 가격 형성의 비밀, 유동성 공급자(LP)의 역할과 중요성
ETF 가격 형성의 비밀, 유동성 공급자(LP)의 역할과 중요성
ETF 가격 형성의 비밀, 유동성 공급자(LP)의 역할과 중요성여러분, ETF에 투자할 때 가격이 어떻게 형성되는지 궁금하지 않으셨나요? 거래가 활발하지 않거나 가격이 왜곡될 때, 이러한 문제를 해
good-word-good-day.co.kr
ETF 투자법, 손쉽게 시작하는 분산투자 전략, 삼성증권 mPOP앱 활용법
ETF 투자법, 손쉽게 시작하는 분산투자 전략, 삼성증권 mPOP앱 활용법
ETF 투자법, 손쉽게 시작하는 분산투자 전략, 삼성증권 mPOP앱 활용법투자를 시작하고 싶지만 어떻게 해야 할지 막막한 경우가 많으실 겁니다. ETF는 주식처럼 쉽게 거래할 수 있으면서도 여러 종
good-word-good-day.co.kr
LS ELECTRIC, 지금 투자해야 할 이유! 주가 분석과 향후 전망
LS ELECTRIC, 지금 투자해야 할 이유! 주가 분석과 향후 전망
LS ELECTRIC, 지금 투자해야 할 이유! 주가 분석과 향후 전망LS ELECTRIC(010120, LS ELECTRIC)은 KOSPI에 상장된 전기전자 산업 분야의 대표적인 기업입니다. 주식 투자자들에게 중요한 주요 재무지표와 주가
good-word-good-day.co.kr